近日,化工学院刘杰副教授团队与潍坊职业学院张倩副教授合作在Advanced Functional Materials杂志上发表了题为“Engineering Electron Cloud Density to Achieve Bifunctional Electrophilic Hosts for Aqueous Zn-I2Batteries with Ultrahigh Rate Property and Cycling Stability”的研究论文(中科院一区,影响因子:19.0)。化工学院研究生贾旭、田继洋为论文第一作者,刘杰副教授、张倩副教授为论文通讯作者。

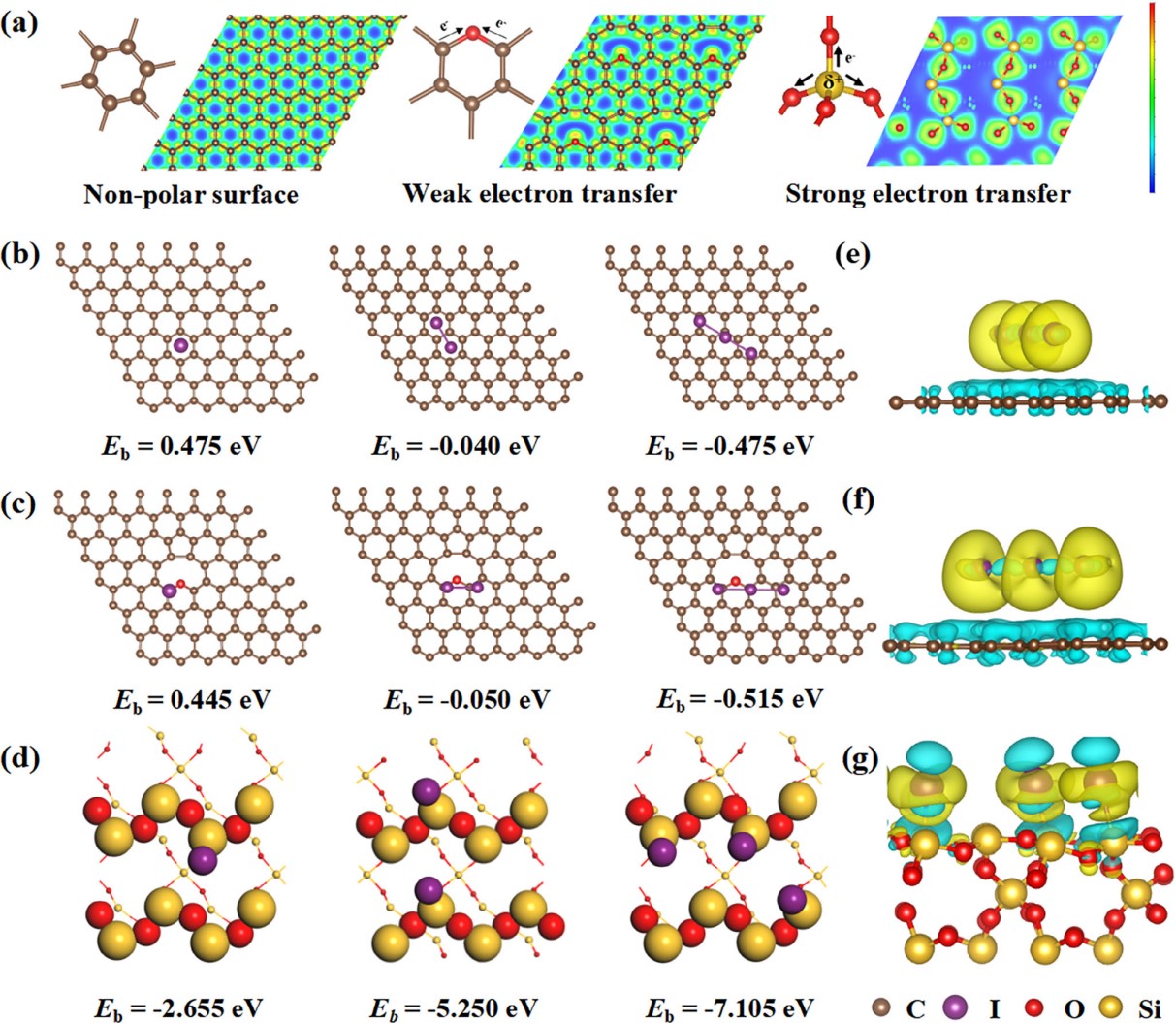
图1 双功能亲电宿主材料的理论预测

图2 基于SiBPC宿主材料的碘正极的电化学性能
水系锌碘电池因其本征安全、资源丰富、环境友好等优点在大规模储能领域展现出广阔的应用前景。但对于碘正极,多碘化物严重的穿梭效应和缓慢的转化反应动力学导致其电化学性能无法满足实际应用的需求。针对以上问题,该研究提出了一种新型碳基宿主材料改性策略,即通过引入Si亲电中心有效地化学锚定富电子的多碘化物。首先,该研究团队通过密度泛函理论(DFT)计算筛选了三种构型(C-C、C-O、Si-O),发现Si-O键与多碘化物间的吸附能较强。由于Si的电负性(1.90)远低于O(3.44),Si原子周围的电子被相邻O原子吸引,从而形成了Si亲电中心。此外,吸附在Si-O键上的多碘化物(I3-)展现出较小的HOMO-LUMO能隙,从而在动力学上促进了其转化。该研究团队利用系列谱学技术和电化学测量方法验证了该设计策略。基于该策略,该研究团队以生物质杨树花为原材料制备出双功能SiBPC亲电宿主材料,其结构为SiO2纳米晶镶嵌在微孔碳中。基于SiBPC宿主材料的碘正极展现出优异的循环稳定性(110000次)和倍率性能(100 C)。当碘负载量达到36.5 mg cm-2时,基于SiBPC宿主材料的碘正极仍然能够在100次循环后保持127.6 mAh g-1的比容量。该研究为高性能碘正极宿主材料的开发提供了一条合理可行且可持续的路线。
该研究得到山东省高等学校青创科技支持计划、山东省自然科学基金、国家自然科学基金的资助。